CS 2233
Discrete Mathematical Structures
Fall 09
Pictures
- Wednesday 8/26/09:
Lecture-propositions-1.1,
Lecture-propositions-1.1WithAnnotations
classURL,
notConjunctionDisjunction,
circuitDiagrams,
- Friday 8/28/09:
PropositionalEquivalences
Common
Mistakes in Discrete Mathematics
(from online resources for the book)
checkCSEmail,
propositionalEquivalences,
propositionalEquivalencesEx1,
equivalencesWithTruthTables,
constructingEquivalencesFromOthers,
line1Table7,
example2,
- Monday 8/31/09:
propositionalFunction,
propositionalFunctionEx,
universalQuantifier,
universalQuantifierEx,
universalQuantifierEx2,
existentialQuantifier,
quantifierTable,
expressQuantifiersWithOperators,
deMorganForQuantifiers1,
deMorganForQuantifiers2,
example,
- Wednesday 9/2/09:
forwardMail,
quantifierTranslationEx1,
quantifierTranslationEx1b,
truthTables,
quantifierTranslationEx2,
nestedQuantifiers1,
nestedQuantifiers2,
nestedQuantifiersTable1,
nestedQuantifiersTable2,
negatingNestedQuantifiers,
nestedQuantifiers3,
- Friday 9/4/09:
ProofTable
A
Guide to Proof-Writing
quantifiersRestrictedDomains,
nestedQuantifierEx,
proofTerminology,
directProofEx,
directProofExb,
- Wednesday 9/9/09:
theorem1_and_indirectProof,
theorem2,
evenOddDef,
theorem3,
proofOfEquivalence,
theorem5,
proofByContradiction,
theorem6,
rationalDef,
- Friday 9/11/09:
theorem6-a,
theorem6-b,
theorem7-proofByContradiction,
theorem8-proofByCases,
theorem9-constructiveExistenceProof,
theorem10-nonconstructiveExistenceProof,
- Monday 9/14/09:
homework1,
setbuilderNotation,
setDef,
tupleDef,
commonlyUsedSets,
A_equal_B,
noDuplicateElements,
A_subset_B,
emptySet_and_Cardinality,
- Wednesday 9/16/09:
Set identities table
announcements,
powerset,
powersetTheorem,
powersetTheoremb,
CartesianProduct,
setOperations,
setOperationsEx,
deMorgans_for_sets,
unionsAndIntersections,
- Friday 9/18/09:
functions,
functionsEx1,
functionsEx2,
functionsEx3,
imageAndRange,
imageAndRangeEx,
oneToOne_Onto,
oneToOne_OntoEx,
onto,
oneToOne,
- Monday 9/21/09:
midtermAnnouncement,
bijectionEx1,
bijectionEx2,
bijectionEx3,
inverseAndComposition,
inverseAndCompositionIllustration,
inverseEx,
compositionEx,
- Wednesday 9/23/09:
floorCeiling,
floorCeilingLemma,
floorCeilingConjecture,
sequence,
geometricProgression,
summationAndGeometricSeriesTheorem,
arithmeticProgression,
- Friday 9/25/09:
indexSubstitution,
geometricSeriesTheorem,
proof1,
proof2,
algorithm,
describeAlgorithm,
describeAlgorithmEx1,
describeAlgorithmEx2,
- Wednesday 9/30/09:
maxExampleRuntime,
bestCaseWorstCaseRuntimes,
compareRuntimes,
bigOh,
bigOhEx,
bigOhEx2,
- Friday 10/2/09:
ImportantRuntimeFunctions,
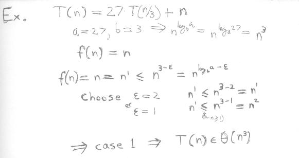
BigOhOmegaTheta,
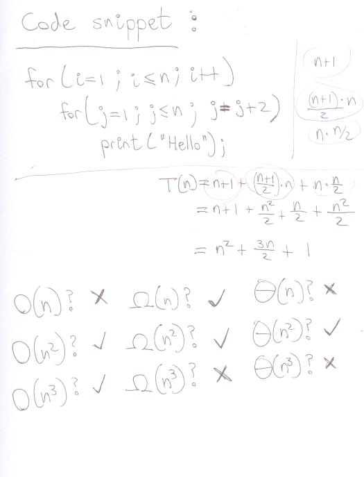
CodeSnippet1,
Example1and2,
Example3,
CodeSnippet2,
- Monday 10/5/09:
induction,
inductionDef,
sumEx,
sumEx2,
sumEx3,
ladderEx,
example3,
L-shapeEx,
- Wednesday 10/7/09:
midterm1Statistics,
midterm1HAP-Key,
L-example1,
L-example2,
inductionEx1a,
inductionEx1b,
inductionEx2a,
inductionEx2b,
- Friday 10/9/09:
weakInduction,
strongInduction,
primeNumberFactorization1,
primeNumberFactorization2,
fibonacciNumbers,
fibonacciNumbers2,
- Monday 10/12/09:
programCorrectnessLoopInvariants,
factorialCode,
factorialCorrectnessProof1,
factorialCorrectnessProof2,
multiplyCode,
multiplyCorrectnessProof1,
multiplyCorrectnessProof2,
recursiveDefinitionsAndAlgorithms,
recursiveFunction,
recursiveAlgorithm,
recursiveAlgorithmEx,
- Wednesday 10/14/09:
powerEx,
recursionStack,
correctness,
recDefSequences,
recDef,
towersOfHanoi,
hanoiRecDef,
hanoiRecIdea,
- Friday 10/16/09:
hanoi,
hanoiExpansion,
hanoiExpansion2,
hanoiInduction,
productOfNumbers,
productOfNumbers2,
- Monday 10/19/09:
midterm2,
recDefSet,
recDefSet2,
structuralInductionMultipleOf3a,
structuralInductionMultipleOf3b,
hw6-divides,
hw6-matrixMult1,
hw6-matrixMult2,
wfaf,
wfafEx,
wfafParens,
- Wednesday 10/21/09:
wfafProof1,
wfafProof2,
divideAndConquer,
recursiveSquaring,
powRecurrence,
powRecursiveAlgorithm,
runtimeRecurrence,
expansionMethod,
- Friday 10/23/09:
logRecurrenceExpansionMethod,
bigOhInduction1,
bigOhInduction2,
bigOhInduction3,
mergesort,
mergesortRecursionTree,
divideAndConquerRuntimeRecurrence,
- Wednesday 10/28/09:
master theorem slides,
- Friday 10/30/09:
example01,
example02,
example03,
example04,
- Wednesday 11/4/09:
linearHomogenousRecurrence,
solveRecurrence,
characteristicEquation,
characteristicEquation2,
rootsForQuadraticEquations,
theorem,
example1,
example2,
example3,
example4,
- Friday 11/6/09:
theorem,
midterm2,
proof1,
proof2,
proof3,
fibonacci1,
fibonacci2,
fibonacci3,
- Monday 11/9/09:
binaryRelation,
example1,
example2,
graphOfFunction,
differenceFunctionsRelations,
example3,
relationOnA,
propertiesOfRelations,
propertiesEx,
- Wednesday 11/11/09:
relationProperties,
example1,
example2,
n-aryRelations,
exampleTable,
operations,
selectionExample,
projectionExample,
joinExample,
- Friday 11/13/09:
equivRelation,
modDef1,
modDef2,
modEquivRelation,
modEquivRelation2,
modEquivRelation3,
- Monday 11/16/09:
Graph slides
modExample,
congruenceClass,
equivalenceClass,
undirectedGraph,
directedGraph,
simpleUndirectedGraph,
completeGraphEx,
sizeOfEdgeSet,
- Wednesday 11/18/09:
undirectedGraphAdjMatrix,
undirectedGraphDegEx,
directedGraphDegEx,
pathsEx,
- Friday 11/20/09:
directedGraphEx,
connectedComponentsEx,
connectedComponentsEx2,
tree,
forest,
edgesVerticesTreeTheorem,
edgesVerticesTreeTheorem2,
edgesVerticesTreeTheorem3,
rootedTrees,
- Monday 11/23/09:
binaryTree,
k-aryTree,
bridgesOfKoenigsbergPuzzle,
balanced_complete,
leavesLemma,
leavesLemma2,
verticesLemma,
treeLemmas,
corollary,
- Wednesday 11/25/09:
hw9-announcement,
vocabulary_language,
vocabulary_languageEx,
grammar,
grammarEx,
production,
languageGeneratedByGrammar,
languageGeneratedByGrammarEx,
languageGeneratedByGrammarEx2,
- Monday 11/30/09:
example1,
exampleTree,
example2Solution1,
example2Solution2,
example3,
contextFree_BNF,
BNF,
Algol_BNF_example,
- Wednesday 12/2/09:
List of final exam topics
announcements-Code,
finiteStateMachine,
finiteStateMachineEx,
acceptedLanguage,
examples1,
examples2,
examples3,
- Friday 12/4/09:
finalPercentages,
testsNumberQuestions,
practiceProblems,
chapter1,
chapters2-3,
chapter4,
chapter4b,
chapter7,
chapters8-10,
Last modified by Carola Wenk,
carola @ cs.utsa.edu ,